半世紀難題48小時破解!陶哲軒組隊把AI數學玩成打怪游戲了
“傳統方法數周或者數月才能解決”
西風 鷺羽 發自 凹非寺
量子位 | 公眾號 QbitAI
剛剛,陶哲軒與多名數學家通力合作,為Erd?s#1026正式畫上了句號。
至此,這個塵封50年的難題終于得到完全解決。
關鍵是,AI又立大功了。在多種AI工具的輔助下,整個解題流程僅用48小時便完成。

博采眾家&AI之長,正在成為解決問題的關鍵。
正如陶哲軒本人所說:
用傳統方法,一兩位數學家用簡單的編程和文獻檢索工具,最終也能完成,但可能需要數周或者數月才能解決。

陶哲軒隨后親自梳理并公開了此次問題被解決的完整過程。

消息傳出后,網友紛紛感嘆“太酷了”:

一起來看看他們究竟是如何解決的?
48小時解決Erd?s#1026
Erd?s#1026問題最早在1975年被提出,初始問題為:

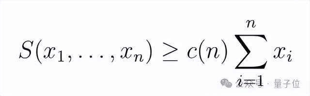
但該問題表述相當模糊,于是數學家Desmond Weisenberg提議對這個函數的最小可能值進行研究,引入一個最大常數的量c(n),使得:

其中c(n)是所有長度為n的不同實數序列。
如果用博弈論來解釋該問題,那么就是:

問Bob無論Alice如何分配硬幣,至少能保證拿走全部硬幣的多少比例?其中c(n)是Bob拿走的最小比例。
這里陶哲軒還用AI畫了一張簡單的說明圖:

陶哲軒隨即給出了他的初步答案,顯然c(1)=1時,Alice只有一堆,Bob可以拿走全部;c(2)=1時,兩堆一定處于單調,Bob可以拿兩堆;c(3)=2/3時,Bob至少可以取兩堆,但無法保證全部三堆。
數學家Stijn Cambie提出了更進一步的猜想。
通過計算c(n)的前幾個值可以得到,存在以下近值:1,1,2/3,1/2,1/2,3/7,2/5,3/8,1/3。

該證明成功將原問題轉化為一個計算幾何領域的矩形填充問題。
一個小時不到,另一位數學家Koishi Chan加入其中,給出了一個基于原始Erd?s–Szekeres定理的替代證明,印證了前面AI的發現。
第二天,陶哲軒注意到了這個問題,他將該問題放入AlphaEvolve,要求它通過生成總和為固定值(這里選擇的是10的6次方)的實數(或整數)序列,來獲取c(n)的上界,并盡可能確保S的值夠小。
在運行一小時后,AlphaEvolve生成了以下c(n)的上界,其中包含了一些結構清晰的潛在極值解:

顯然數值分數(除以10的6次方)正在試圖逼近簡單有理數,于是陶哲軒又利用John Cook的公開專用工具,將序列整理成:

這為序列c(n)的值提供了一種猜想,之后Boris Alexeev繼續找到了該猜想的簡潔表述,即:


另外,他還提供了一個明確的上界構造:

該上界通過構造不利配置的序列實現,基本思想仍然來自Erd?s–Szekeres定理,即復雜設計數字排列順序,會使得長單調序列無法同時擁有很好的權重。
這種構造是組合性的,需要精心設計序列結構與分塊策略,才能使最長序列單調和受限。

用ChatGPT Pro生成1/c(n)的圖像,能夠直觀看出,它基本上是對平方根函數的分段線性逼近。

不久之后,數學家Lawrence Wu就該問題,結合正方形填充(Erd?s#106)進行了闡述。

根據Erd?s#106,他將f(n)引入該問題,設定其為最小數,使得把n個正方形按平行坐標軸打包進一個大正方形時,滿足:

其中對于n=10時,用ChatGPT Pro生成轉換成方形打包的圖像,如圖所示:

在此基礎上,Lawrence Wu通過AI論文檢索,找到了一篇去年由Baek、Koizumi和Ueoro聯合發表的論文,最終證明了猜想中的公式,從而完成了整體證明。
接下來陶哲軒將上述所有信息全部輸入了ChatGPT,生成了連貫證明。

視頻鏈接:https://mp.weixin.qq.com/s/60SqsE0hcV-3gwxsQfA6jw
人+人+AI=數學破壁機
當然,這已經不是陶哲軒第一次用AI解題了。
最近,他還借助Gemini 2.5 Deep Think破解了Erd?s問題#367。
這是他本人很擅長的連續整數結構的乘法數論問題,該問題建立在前人并不完整的反證基礎上,陶哲軒借助Gemini Deep Think進行證明補全。
全程只用了十分鐘,Gemini就從論證分析打通了結論確認。

另外,陶哲軒前段時間還利用GPT-5進行半自動化文獻檢索。
他借助GPT-5對相關數列進行高精度計算,隨后將得到的結果輸入OEIS(一個收錄全球數列的數據庫)進行檢索對照,進而發現部分Erd?s問題其實早已在既有研究中被解決——只是長期沒人注意到,未把結果與問題庫對應起來。

至于什么是Erd?s問題?
它出自20世紀著名匈牙利數學家Paul Erd?s。此人一輩子合作了超500位數學家,畢生發表了約1525篇數學論文,數量之多,至今無人能及。相應地,他也提出或轉述了千道問題,給后人留下了“Erd?s問題”。
其中大量題目被收錄于erdosproblems.com網站。該網站由數學家Thomas Bloom制作,記錄了每道題目的當前狀態。目前,絕大多數難題依然懸而未解。

隨著AI技術的不斷進步,接連有人利用AI成功解答了這些幾十年來未曾解決的難題。
陶哲軒本人就表示,“在Erd?s問題網站上,AI輔助已經變得很常見”。

就在前幾天,來自Harmonic的數學AI模型還被曝獨立證明了Erd?s問題#124。
微軟前AI副總裁、目前在OpenAI研究AGI的Sebastien Bubeck表示“該解決方案100%由AI生成,總計耗時6小時”。

目前,Erd?s網站也公開鼓勵大家借助AI等工具輔助解題:
允許使用AI輔助撰寫評論,但需滿足:(a)公開說明使用了AI;(b) 內容(包括數學內容、代碼、數值數據及相關來源)已由用戶本人獨立(不借助AI)仔細檢查和驗證;(c)評論長度合理。

而這次Erd?s#1026的快速解決,離不開“人與人的協作”+“人與AI的協作”。
這種協作方式,也正在成為一種新趨勢。
參考鏈接:
[1]https://www.erdosproblems.com/forum/thread/1026
[2]https://terrytao.wordpress.com/2025/12/08/the-story-of-erdos-problem-126/
- 美國視頻生成老炮兒,入局世界模型2025-12-13
- 面向「空天具身智能」,北航團隊提出星座規劃新基準丨NeurIPS’252025-12-13
- 慧思開物全局調度,北京人形推出全國首個全自主無人化導覽解決方案2025-12-11
- 知名數學家辭職投身AI創業:老板是00后華人女生2025-12-06



