“九章三號”光量子計算機問世!比超算快一億億倍,來自中科大潘建偉團隊
1微秒=當今最快超算200億年
豐色 發自 凹非寺
量子位 | 公眾號 QbitAI
我國量子計算迎來新突破。
中科大官網消息:
新一代量子計算原型機“九章三號”成功研制,255個光子(比“九章二號”多了1倍多),計算能力刷新世界紀錄。

具體有多強?
(1)處理高斯玻色取樣的速度,比上一代“九章二號”還要快一百萬倍,比目前全球最快超算(Frontier)則快上一億億倍;
(2)在1微秒(10的負6次方秒)內所處理的最高復雜度樣本,如果換作全球最快超算來做,它得花超二百億年(簡單理解為1微秒=200億年)。

網友表示:
這才是真的牛。

從意義上來看,中科大表示:
“九章三號”的誕生主要是進一步鞏固我國在光量子計算領域(與之對應的是超導量子)的領先地位。

它背后的團隊,仍由潘建偉、陸朝陽、劉乃樂等人(隸屬中科大中國科學院量子信息與量子科技創新研究院)組成,外加共同合作方:中國科學院上海微系統所和國家并行計算機工程技術研究中心。
光量子計算機“九章三號”問世
“九章三號”成果目前已發表在《物理評論快報》(PHYSICAL REVIEW LETTERS)。

相較2021年誕生的“九章二號”,它有哪些改進?
中科大介紹:
其一,在理論上首次提出了包含光子全同性的新理論模型。
(全同性原理是量子力學基本假設:交換全同粒子體系中任意一對粒子的全坐標(包括空間坐標和自旋坐標),體系的狀態不變。)
該模型實現了理論與實驗的更精確吻合。
其二,發展了完備的貝葉斯驗證和關聯函數驗證,全面排除所有已知的經典仿冒算法。
這主要是為量子計算優越性提供進一步數據支撐。
在這些改進之外,“九章三號”又是如何實現255個光子的呢?
要知道,“九章二號“光子為113個,而國際上第二個實現光學體系“量子計算優越性”的“北極光”(Borealis)量子處理器(加拿大Xanadu公司與美國國家標準局合作)為216個。
在此,潘建偉團隊設計了一種時空解復用的光子探測新方法。
簡單來說就是研制了一個基于光纖時間延遲環的超導納米線探測器,用它來把多光子態分束到不同空間模式并通過延時把空間轉化為時間。
通過這個準光子數可分辨的探測系統,團隊得以提升光子操縱水平(255個光子),進而提升量子計算復雜度。

△ 實驗裝置示意圖
最終,“九章三號”憑借以上改進實現了我們在文章開頭所看到這一系列新的世界紀錄。
當然,這樣的量子計算機仍然只能解決高斯玻色取樣等特定任務(經典計算機無法完成),在通用計算上還無法與超算相比。
而除了在特定任務上的計算性能大幅提升,“九章三號”還:
- 揭示了高斯玻色取樣和圖論之間的數學聯系;
- 完成了對稠密子圖和Max-Haf兩類具有實用價值的圖論問題的求解(比經典計算機精確模擬的速度快1.8億倍);
- 以及在國際上首次演示出無條件的多光子量子精密測量優勢。

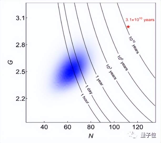
△ “九章三號”的計算復雜度需要花費超級計算機的時間
最后,“九章三號”的成果研制究竟有何意義?
在國際學術界,有一個量子計算機(分為光子和超導兩種)三步走的發展路線。
其中第一步就是實現“量子計算優越性”,即通過對近百個量子比特的高精度量子調控,對特定問題的求解展現超級計算機無法比擬的算力。
回顧我國發展史:
2020年,具備76光子“九章”的誕生,使我國首次在國際上實現光學體系的“量子計算優越性”。
2021年10月,中科大潘建偉團隊又研制出113光子的可相位編程“九章二號”,以及56比特的“祖沖之二號”超導量子計算原型機,使我國成為全球唯一在光學和超導兩種技術路線都達到了“量子計算優越性”的國家。
不過在“九章二號”之后,2022年6年,219個光子的“北極光(Borealis)”量子計算機誕生,采樣高斯玻色子的速度是2021年世界上最快超算Fugaku的7.8萬億倍,一下子超越了“九章二號”。

但競爭實在激烈,如今“九章三號”的誕生,則又很快結束了“北極光”量子計算機的短暫領先,讓我國重回國際第一,并再次刷新計算性能紀錄。

論文地址:
https://journals.aps.org/prl/issues/131/15
參考鏈接:
[1]https://quantum.ustc.edu.cn/web/index.php/node/1140
[2]https://s.weibo.com/weibo?q=%E4%B9%9D%E7%AB%A0%E4%B8%89%E5%8F%B7
- 北大開源最強aiXcoder-7B代碼大模型!聚焦真實開發場景,專為企業私有部署設計2024-04-09
- 剛剛,圖靈獎揭曉!史上首位數學和計算機最高獎“雙料王”出現了2024-04-10
- 8.3K Stars!《多模態大語言模型綜述》重大升級2024-04-10
- 谷歌最強大模型免費開放了!長音頻理解功能獨一份,100萬上下文敞開用2024-04-10




